|

by
Ethan Siegel
Published
March 2023.
Updated September 24, 2025
from
BigThink Website

Credit: ESA, HFI and
LFI consortia,
2010; CO map from T.
Dame et al., 2001
|
When
the entire sky is viewed in a variety of wavelengths,
certain sources corresponding to distant objects beyond
our galaxy are revealed.
This
first all-sky map from Planck includes not only the
cosmic microwave background, but also extragalactic
contributions and the foreground contributions from
matter within the Milky Way itself.
All
of these must be understood to tease out the appropriate
temperature and polarization signals. |
The
hot Big Bang
is often
touted as the
beginning
of the Universe.
But
there's one piece of evidence
we can't
ignore
that shows
otherwise...
Key Takeaways
-
For
many decades, people conflated the hot Big Bang,
describing the early Universe, with a singularity: that
this "Big Bang" was the 'birth' of space and time.
-
However, in the early 1980s, a new theory called cosmic
inflation came along, suggesting that before the hot Big
Bang, the Universe behaved very differently, pushing any
hypothetical singularity unobservably far back. Earlier
this century, some very strong evidence arrived showing
that there was a Universe before the Big Bang,
demonstrating that the Big Bang wasn't truly the 'start'
of it all.
-
Earlier this century, some very strong evidence arrived
showing that there was a Universe before the Big Bang,
demonstrating that the Big Bang wasn't truly the start
of it all.
The notion of
the Big Bang goes back nearly 100 years, when
the first evidence for the expanding Universe appeared.
If the Universe is expanding and cooling
today, that implies a past that was smaller, denser, and hotter.
In our imaginations, we can extrapolate back to
arbitrarily small sizes, high densities, and hot temperatures:
all the way to a singularity, where all of
the Universe's matter and energy was condensed in a single
point.
For many decades, these two notions of the Big
Bang - of the hot dense state that describes the early Universe and
the initial singularity - were inseparable.
But beginning in the 1970s, scientists started identifying some
puzzles surrounding the Big Bang, noting several properties of the
Universe that weren't explainable within the context of these two
notions simultaneously.
When
cosmic inflation was first put forth and
developed in the early 1980s, it separated the two definitions of
the Big Bang, proposing that the early hot, dense state never
achieved these singular conditions, but rather that a new,
inflationary state preceded it.
There really was a Universe before the hot Big
Bang, and some very strong evidence from the 21st century truly
proves that it's so.

Credit: Nicole Rager Fuller
National
Science Foundation
|
Our
entire cosmic history is theoretically well-understood,
but difficult to depict in a static, 2D image.
The
Universe's present expansion rate and energy composition
are related, which is why most modern illustrations of
our cosmic history have a tube-like shape: where they
often (dubiously) depict an initial singularity, a
period of inflation, and then a slower expansion that
changes with time while our Universe evolves.
No one
diagram encodes all of these details correctly,
including the one shown here, which seems to maintain a
constant "size" for the Universe, disagreeing with
reality. |
Although we're certain that we can describe the very early Universe
as being hot, dense, rapidly expanding, and full of
matter-and-radiation - i.e., by the hot Big Bang - the question of
whether that was truly the beginning of the Universe or not is one
that can be answered with evidence.
The differences between a Universe that began
with a hot Big Bang and a Universe that had an inflationary phase
that precedes and sets up the hot Big Bang are subtle, but
tremendously important.
After all, if we want to know what the very
beginning of the Universe was, we need to look for evidence from the
Universe itself.
In a hot Big Bang that we extrapolate all the way back to
a
singularity, the Universe achieves arbitrarily hot temperatures and
high energies.
Although the Universe will have an "average"
density and temperature, there will be imperfections throughout it:
overdense regions and underdense regions
alike.
As the Universe expands and cools, it also
gravitates, meaning that overdense regions will attract more
matter-and-energy into them, growing over time, while underdense
regions will preferentially give up their matter-and-energy into the
denser surrounding regions, creating the seeds for an eventual
cosmic web of structure.

Credit: E.M. Huff, SDSS-III
South Pole
Telescope, Zosia Rostomian
|
The
density fluctuations in the 'cosmic microwave background'
(CMB) provide the seeds for modern cosmic structure to
form, including stars, galaxies, clusters of galaxies,
filaments, and large-scale cosmic voids.
But the CMB
itself cannot be seen until the Universe forms neutral
atoms out of its ions and electrons, which takes
hundreds of thousands of years, and the stars won't form
for even longer: 50-to-100 million years. |
But the details that will emerge in the cosmic web are determined
far earlier, as the "seeds" of the large-scale structure were
imprinted in the very early Universe.
Today's stars, galaxies, clusters of galaxies,
and filamentary structures on the largest scales of all can be
traced back to density imperfections from when neutral atoms first
formed in the Universe, as those "seeds" would grow, over hundreds
of millions and even billions of years, into the rich cosmic
structure we see today.
Those seeds exist all throughout the Universe,
and remain, even today, as temperature imperfections in the Big
Bang's leftover glow:
the
cosmic microwave background.
As measured by the
WMAP satellite in the 2000s
and its successor, the
Planck satellite, in the 2010s, these
temperature fluctuations are observed to appear on all scales, and
they correspond to density fluctuations in the early Universe.
The link is because of gravitation, and the fact
that within general relativity, the presence and concentration of
matter-and-energy determines the curvature of space.
Light has to travel from the region of space
where it originates to the observer's "eyes," and that means:
-
the overdense regions, with more
matter-and-energy than average, will appear
colder-than-average, as the light must "climb out" of a
larger gravitational potential well,
-
the underdense regions, with less
matter-and-energy than average, will appear
hotter-than-average, as the light has a
shallower-than-average gravitational potential well to climb
out of,
-
...and that the average density regions will
appear as an average temperature: the mean temperature of
the cosmic microwave background...

Credit: E. Siegel
Beyond the
Galaxy
|
Regions of space that are slightly denser than average
will create larger gravitational potential wells to
climb out of, meaning the light arising from those
regions appears colder by the time it arrives at our
eyes.
Vice versa, underdense regions will look like hot
spots, while regions with perfectly average density will
have perfectly average temperatures. |
But where did these imperfections come from, initially?
These temperature imperfections that we observe
in the Big Bang's leftover glow come to us from an epoch that's
already 380,000 years after the start of the hot Big Bang, meaning
they've already experienced 380,000 years of cosmic evolution.
The story is quite different, depending on which
explanation you turn toward.
According to the "singular" Big Bang explanation,
the Universe was
simply "born" with an original set of imperfections, and these
imperfections grew and evolved according to the rules of
gravitational collapse, of particle interactions, and of radiation
interacting with matter, including the differences between normal
and dark matter.
According to the inflationary origin theory, however, where the hot
Big Bang only arises in the aftermath of a period of cosmic
inflation, these imperfections are seeded by quantum fluctuations -
that is, fluctuations that arise due to the inherent
energy-time uncertainty relation in
quantum physics - that occur during the inflationary period:
when the Universe is expanding exponentially...
These quantum fluctuations, generated on the
smallest scales, get stretched to larger scales by inflation, while
newer, later-time fluctuations get stretched atop them, creating a
superposition of these fluctuations on all distance scales.

Credit: E. Siegel
Beyond the
Galaxy
|
The
quantum fluctuations that occur during inflation do
indeed get stretched across the Universe, and later,
smaller-scale fluctuations get superimposed atop the
older, larger-scale ones.
These field fluctuations cause
density imperfections in the early Universe, which then
lead to the temperature fluctuations we measure in the
cosmic microwave background, after all the interactions
between dark matter, normal matter, and radiation occur
prior to the formation of the first stable, neutral
atoms. |
These two pictures are conceptually different, but the reason
they're interesting to astrophysicists is that each picture leads to
potentially observable differences in the types of signatures we'd
observe.
In the "singular" Big Bang picture, the types of
fluctuations that we'd expect to see would be limited by the speed
of light:
the distance that a signal - gravitational or
otherwise - would have been allowed to propagate if it were
moving at the speed of light through the expanding Universe that
began with a singular event known as the Big Bang.
But in a Universe that underwent a period of
inflation prior to the start of the hot Big Bang, we'd expect there
to be density fluctuations on all scales, including on scales larger
than the speed of light, which could have allowed a signal to travel
since the start of the hot Big Bang.
Because inflation essentially "doubles" the size
of the Universe in all three dimensions with each
tiny-fraction-of-a-second that passes, fluctuations that occurred a
few hundred fractions-of-a-second ago are already stretched to a
scale larger than the presently observable Universe.
Although later fluctuations superimpose themselves atop the older,
earlier, larger-scale fluctuations, inflation allows us to start the
Universe off with ultra-large-scale fluctuations that shouldn't
exist in the Universe if it began with a Big Bang singularity
without inflation.

Credit: E. Siegel; ESA/Planck and
the DOE
NASA/NSF
Interagency Task Force on CMB research
|
The
quantum fluctuations inherent to space, stretched across
the Universe during cosmic inflation, gave rise to the
density fluctuations imprinted in the cosmic microwave
background, which in turn gave rise to the stars,
galaxies, and other large-scale structures in the
Universe today.
This is the best picture we have of how
the entire Universe behaves, where inflation precedes
and sets up the Big Bang.
Unfortunately, we can only
access the information contained inside our cosmic
horizon, which is all part of the same fraction of one
region where inflation ended some 13.8 billion years
ago. |
In other words,
the big test that one can perform is to examine the
Universe, in all its gory details, and look for either the presence
or absence of this key feature:
what cosmologists call
super-horizon
fluctuations.
At any moment in the Universe's history, there's
a limit to how far a signal that's been traveling at the speed of
light since the start of the hot Big Bang could've traveled, and
that scale sets what's known as the
cosmic horizon.
-
Scales that are smaller than the horizon,
known as sub-horizon scales, can be influenced by physics
that's occurred since the start of the hot Big Bang.
-
Scales that are equal to the horizon,
known as horizon scales, are the upper limit to what
could've been influenced by physical signals since the start
of the hot Big Bang.
-
And scales that are greater than the
horizon, known as super-horizon scales, are beyond the limit
of what could've been caused by physical signals generated
at or since the start of the hot Big Bang.
In other words,
if we can search the Universe for
signals that appear on super-horizon scales, that's a great way to
discriminate between a non-inflationary Universe that began with a
singular hot Big Bang (which shouldn't have them at all) and an inflationary Universe that possessed an inflationary period prior to
the start of the hot Big Bang (which should possess these
super-horizon fluctuations).

Credit: ESA and the Planck
Collaboration
|
The
fluctuations in the cosmic microwave background were
first measured accurately by COBE in the 1990s, then
more accurately by WMAP in the 2000s and Planck (above)
in the 2010s.
This image encodes a huge amount of
information about the early Universe, including its
composition, age, and history.
The fluctuations are only
tens to hundreds of microkelvin in magnitude.
On large
cosmic scales, the error bars are very large, as only a
few data points exist, highlighting a large inherent
uncertainty. |
Unfortunately, simply looking at a map of temperature fluctuations
in the cosmic microwave background isn't enough, on its own, to tell
these two scenarios apart.
The temperature map of the cosmic microwave
background can be broken up into different components, some of which
occupy large angular scales in the sky, and some of which occupy
small angular scales, as well as everything in-between.
The problem is that fluctuations on the largest scales have two
possible causes.
They could be created from the fluctuations that
arose during an inflationary period, sure.
But they could also be
created simply by the gravitational growth of structure in the
late-time Universe, which has a much larger cosmic horizon than the
early-time Universe.
For example,
if all you have is a gravitational potential well for a
photon to climb out of, then climbing out of that well costs the
photon energy; this is known as
the Sachs-Wolfe effect in physics,
and occurs for the cosmic microwave background at the point at which
the photons were first emitted.
However,
if your photon falls into a gravitational potential well
along the way, it gains energy, and then when it climbs back out
again on its way to you, it loses energy.
If the gravitational imperfection either grows or
shrinks over time, which it does in multiple ways in a gravitating
Universe filled with dark energy, then various regions of space can
appear hotter or colder than average based on the growth (or
shrinkage) of density imperfections within it.
This is known as
the integrated Sachs-Wolfe effect.

Credit: B.R. Granett et al., ApJ,
2008
|
At
late times, photons fall into gravitational structures
like rich clusters or sparse voids, and then leave
again.
However, matter can flow in or out of these
structures, and the expansion of the Universe can change
the strength of that potential during the time a photon
traverses it, creating a relative redshift or blueshift
owing to what's known as the integrated Sachs-Wolfe
effect. |
So when we look at the temperature imperfections in the cosmic
microwave background and we see them on these large cosmic scales,
there isn't enough information there, on its own, to know whether:
-
they were generated by the Sachs-Wolfe
effect and are due to inflation
-
they were generated by the integrated
Sachs-Wolfe effect and are due to the growth/shrinkage
of foreground structures
-
they're due to some combination of the
two
Fortunately, however, looking at the temperature
of the cosmic microwave background isn't the only way we get
information about the Universe; we can also look at the polarization
data of the light from that background.
As light travels through the Universe, it interacts with the matter
within it, and with electrons in particular. (Remember, light is an
electromagnetic wave!)
If the light is polarized in a radially-symmetric
fashion, that's an example of an E-mode (electric) polarization.
If
the light is polarized in either a clockwise or counterclockwise
fashion, that's an example of a B-mode (magnetic) polarization.
Detecting polarization, on its own, isn't enough
to show the existence of super-horizon fluctuations, however.

Credit: ESA and the Planck
Collaboration, 2015
|
This
map shows the CMB's polarization signal, as measured by
the Planck satellite in 2015.
The top and bottom insets
show the difference between filtering the data on
particular angular scales of 5 degrees and 1/3 of a
degree, respectively.
While temperature data, alone, can
demonstrate that the CMB is of cosmic nature, the
polarization signal gives us key pieces of information
relevant to the details of cosmic inflation. |
What you need to do is perform a correlation analysis:
between the polarized light and the
temperature fluctuations in the cosmic microwave background and
correlate them on the same angular scales as one another.
This is where things get really interesting,
because this is where observationally looking at our Universe allows
us to tell the "singular Big Bang without inflation" and the
"inflationary state that gives rise to the hot Big Bang" scenarios
apart...!
-
In both cases, we expect to see
sub-horizon correlations, both positive and negative ones,
between the E-mode polarization in the cosmic microwave
background and the temperature fluctuations within the
cosmic microwave background.
-
In both cases, we expect that on the
scale of the cosmic horizon, corresponding to angular scales
of about 1 degree (and a multipole moment of about l = 200
to 220), these correlations will be zero.
-
However, on super-horizon scales, the
"singular Big Bang" scenario will only possess one large,
positive "blip" of a correlation between the E-mode
polarization and the temperature fluctuations in the cosmic
microwave background, corresponding to when stars form in
large numbers and reionize the intergalactic medium.
The "inflationary Big Bang" scenario, on
the other hand, includes this, but also includes a series of
negative correlations between the E-mode polarization and
the temperature fluctuations on super-horizon scales, or
scales between about 1 and 5 degrees (or multipole moments
from l = 30 to l = 200).

Credit: A. Kogut et al., ApJS,
2003;
annotations by
E. Siegel
|
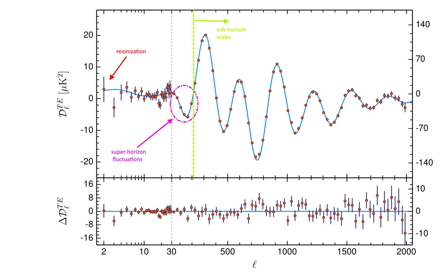
This
2003 WMAP publication is the very first scientific paper
to show the evidence for super-horizon fluctuations in
the temperature-polarization correlation (TE
cross-correlation) spectrum.
The fact that the solid
curve (and the data), and not the dotted line, is
followed to the left of the annotated green dotted line
is very difficult to overlook, and represents extremely
strong evidence for super-horizon fluctuations: evidence
for inflation. |
What you see, above, is the very first graph,
published by the WMAP team in 2003,
a full 20 years ago, showing what cosmologists call the TE
cross-correlation spectrum:
the correlations, on all angular scales, that
we see between the E-mode polarization and the temperature
fluctuations in the cosmic microwave background.
In green, I've added the scale of the cosmic
horizon, along with arrows that indicate both sub-horizon and
super-horizon scales.
As you can see, on sub-horizon scales, the
positive and negative correlations are both there, but on
super-horizon scales, there's clearly that big "dip" that appears in
the data, agreeing with the inflationary (solid line) prediction,
and definitively not agreeing with the non-inflationary, singular
Big Bang (dotted line) prediction.
Of course, that was 20 years ago, and the WMAP satellite was
superseded by the Planck satellite, which was superior in many ways:
it viewed the Universe in a greater number of
wavelength bands, it went down to smaller angular scales, it
possessed a greater temperature sensitivity,
it included a dedicated polarimetry
instrument, and it sampled the entire sky more times,
further reducing the errors and uncertainties.
When we look at the final (2018-era) Planck TE
cross-correlation data, below, the results are breathtaking.

Credit: ESA and the Planck
collaboration;
annotations by
E. Siegel
|
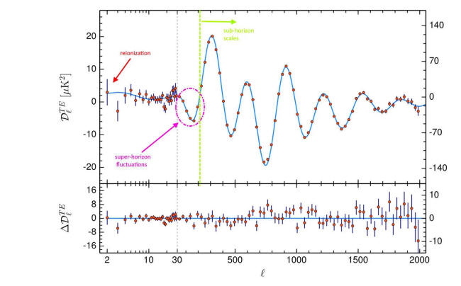
If
one wants to investigate the signals within the
observable Universe for unambiguous evidence of
super-horizon fluctuations, one needs to look at
super-horizon scales at the TE cross-correlation
spectrum of the CMB.
With the final (2018) Planck data
now in hand, the evidence is overwhelmingly in favor of
their existence, validating an extraordinary prediction
of inflation and flying in the face of a prediction
that, without inflation, such fluctuations shouldn't
exist. |
As you can clearly see, there can be no doubt that
there truly are super-horizon fluctuations
within the Universe, as the significance of this signal is
overwhelming.
The fact that we see super-horizon fluctuations,
and that we see them not merely from reionization but as they are
predicted to exist from inflation, is a slam dunk:
the non-inflationary, singular Big Bang model
does not match up with the Universe we observe.
Instead, we learn that we can only extrapolate
the Universe back to a certain cutoff point in the context of the
hot Big Bang, and that prior to that, an inflationary state must
have preceded the hot Big Bang.
We'd love to say more about the Universe than that, but
unfortunately, these are the observable limits that we're stuck
with:
fluctuations and imprints on larger scales
leave no effect on the Universe that we can see.
There are other tests of inflation that we can
look for as well:
a nearly scale-invariant spectrum of purely
adiabatic fluctuations, a cutoff in the maximum temperature of
the hot Big Bang, a slight departure from perfect flatness to
the cosmological curvature, and a primordial gravitational wave
spectrum among them.
However, the super-horizon fluctuation test is an
easy one to perform and one that's completely robust.
All on its own, it's enough to tell us that the Universe didn't
start with the hot Big Bang, but rather that an inflationary state
preceded it and set it up.
Although it's generally not talked about
in such terms, this discovery, all by itself, is easily a
Nobel-worthy achievement.
|